当前位置:首页>美女资讯>2026北京朝阳一模特色题赏析

2026北京朝阳一模特色题赏析

  • 2026-04-04 12:02:48
2026北京朝阳一模特色题赏析
北京朝阳一模,没有让大家失望,有创新,有难度,挺多值得思考的地方。在此,选取两道比较有特色的题,向大家分享。
首先是选择题第8题,线框在磁场中的运动,老朋友了,但是看一下问题,傻眼了:没有纵坐标,要判断纵坐标!
有的学霸说,我之前做过这种题,答案我记得是啥,这就没意思了,胜之不武。咱来点平民解法吧。
注意,只要相框在磁场区域,纵坐标就不是零,且分成三段恒定值。
我们来做一下简单排除。A,磁通量,进出磁场的磁通量肯定是变化的,错误;B,题目故意隐藏了关键信息:线框要不要考虑电阻?如果不考虑线框电阻,则进出磁场应该是对称的,B应该错误,那如果考虑内阻呢?这么复杂,先放一放吧;C,中间一段没有磁通量变化,没有安培力,错误;D,同C,中间一段功率应该为零。所以,这时候,你只能选B,而且答案藏在“线框要考虑电阻”的可能性里。有了这个想法就好办了,无非就是画一下等效电路,看清楚电源在哪儿,就有这个电势差3:4:1的结论了。
下面看计算题第19题:
看前两问,波澜不惊,第三问,熟悉而又陌生。熟悉在于,这貌似就是常见的类比法命题套路,先做铺垫再考物理建模,最近的2025年高考就是这么考的;陌生在于,这建模有点虚,连场景都不给,要自己出题给自己证明啊???
做题之前,想明确一个常识,物理图像中的面积是什么含义?
以上是几何上的面积S,而物理意义是藏在yx这两个因子里面的,具体情况具体对待。只要有这个常识,前两问应该是轻轻松松的。
第一问,电场力做功与电势能变化量的关系,结合E-t图像的面积含义(电势差)即可解出:
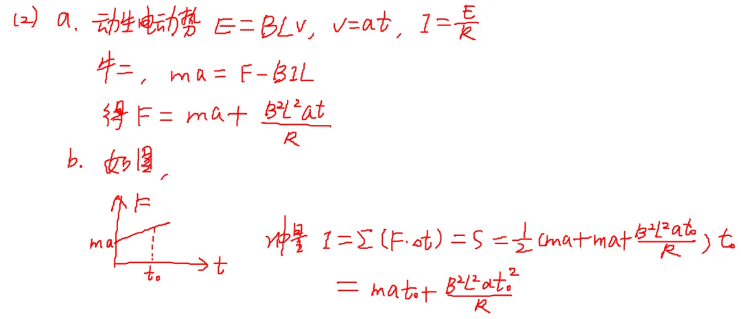
第二问,电磁感应常规操作求出F的表达式,再结合F-t图像的面积含义(冲量)即可解出,难度与第一问差不多,只是计算稍微繁琐一点:
第三问,有点刺激了,相信很多人没见过这种题,说白了就是开放题,没有模型硬建!当你第一眼看到正弦图像的时候,你能想到哪些模型呢?简谐运动、机械波、正弦交变电流、圆周运动的分解。。。光是简谐运动就分很多种可能性。所以命题人让你“展开想象的翅膀”,太折磨人了!
反正我第一个想到的是单摆,那就讲一下单摆模型的解法吧。简单的模型介绍还是有必要的,列一下用到的物理量以及图像物理意义:v-t图像。
首先从宏观运动的角度理解一下单摆中的路程、时间和平均速度,路程可以由几何关系得到,时间用周期公式推导,两者相除,得出平均速度待用:
下面是难点了,纵坐标Ym还没用呢,物理含义也就是速度最大值,即单摆最低点速度,用一下动能定理吧,再导一导三角函数,再利用单摆的几何特性,摆角很小,其正弦值=角的大小,将Ym化简(绿色划线处)。最后联立平均速度的表达式,得出结论。具体过程如下:
这个题真的惊艳到我了,不同的模型有不同的解法,而且解法还大相径庭,家家有本难念的经,想顺利做出来真的不容易。同时,阅卷估计也很麻烦。赏析可以,希望高考不要这么出了。
就到这儿吧。
好好学习,下期再见!
#高考物理#北京高考物理#北京朝阳一模

精品写真推荐

XiuRen秀人网 2014.02.07 No.099 模特合集 XiuRen秀人网 2014.02.07 No.099 模特合集 XiuRen秀人网 2017.02.20 No.700 模特悦悦 [56P137MB] XiuRen秀人网 2017.02.20 No.700 模特悦悦 [56P137MB] D52.008 一个午后的阳台 [40P-57MB] D52.008 一个午后的阳台 [40P-57MB] XiuRen秀人网 2014.03.08 No.108 模特合集 [125P-218MB] XiuRen秀人网 2014.03.08 No.108 模特合集 [125P-218MB] XiuRen秀人网 2014.05.17 No.136 模特合集[110+1P216M] XiuRen秀人网 2014.05.17 No.136 模特合集[110+1P216M] XiuRen秀人网 2014.05.31 No.146 模特合集[67+1P247MB] XiuRen秀人网 2014.05.31 No.146 模特合集[67+1P247MB] XiuRen秀人网 2014.06.06 No.154 模特飞儿[62+1P150M] XiuRen秀人网 2014.06.06 No.154 模特飞儿[62+1P150M] XiuRen秀人网 2014.06.12 No.156 模特合集[66+1P171MB] XiuRen秀人网 2014.06.12 No.156 模特合集[66+1P171MB] XiuRen秀人网 2014.06.17 No.159 模特合集[64+1P197M] XiuRen秀人网 2014.06.17 No.159 模特合集[64+1P197M] XiuRen秀人网 2016.02.23 No.485 模特合集 [67P+1P183MB] XiuRen秀人网 2016.02.23 No.485 模特合集 [67P+1P183MB] XiuRen秀人网 2016.12.09 No.656 模特悦悦 [58P-166M] XiuRen秀人网 2016.12.09 No.656 模特悦悦 [58P-166M] XiuRen秀人网 2016.12.20 No.664 模特合集 [56P-334M] XiuRen秀人网 2016.12.20 No.664 模特合集 [56P-334M] XiuRen秀人网 2017.11.06 No.845 模特合集[32+1P75M] XiuRen秀人网 2017.11.06 No.845 模特合集[32+1P75M] XiuRen秀人网 2018.07.12 No.1077 模特合集 [50+1P239M] XiuRen秀人网 2018.07.12 No.1077 模特合集 [50+1P239M] XiuRen秀人网 2013.11.02 No.042 深圳模特合集51P] XiuRen秀人网 2013.11.02 No.042 深圳模特合集51P] XiuRen秀人网 2021.12.31 No.4412 模特合集[96+1P 957MB] XiuRen秀人网 2021.12.31 No.4412 模特合集[96+1P 957MB] XIUREN秀人网 2024.02.23 NO.8137 模特合集[84+1P/750MB] XIUREN秀人网 2024.02.23 NO.8137 模特合集[84+1P/750MB] VOL.022 阳光宅女 [40P-244MB] VOL.022 阳光宅女 [40P-244MB] XiuRen秀人网 2015.02.15 No.299 新人模特@骄傲的李雨昕 [50P221MB] XiuRen秀人网 2015.02.15 No.299 新人模特@骄傲的李雨昕 [50P221MB] XiuRen秀人网 2021.11.12 No.4209 模特合集 护士制服[91+1P 827MB] XiuRen秀人网 2021.11.12 No.4209 模特合集 护士制服[91+1P 827MB] 森萝财团 朝露-01E 4K 白丝女仆睡衣 [126P2V-7.85GB] 森萝财团 朝露-01E 4K 白丝女仆睡衣 [126P2V-7.85GB] 少女秩序 GR04L 黑丝JK制服 五一特别期 [73P-1.44GB]JK制服, 少女秩序, 美腿, 美足, 黑丝 少女秩序 GR04L 黑丝JK制服 五一特别期 [73P-1.44GB]JK制服, 少女秩序, 美腿, 美足, 黑丝 森萝财团 朝露-04E 4K 白丝双马尾女仆 [112P2V-6.97GB] 森萝财团 朝露-04E 4K 白丝双马尾女仆 [112P2V-6.97GB] 森萝财团 朝露-02E 4K 双马尾白丝可爱女仆 [103P2V-5.83GB] 森萝财团 朝露-02E 4K 双马尾白丝可爱女仆 [103P2V-5.83GB] XiuRen秀人网 2018.05.10 No.1011 北海大公主[45+1P92M] XiuRen秀人网 2018.05.10 No.1011 北海大公主[45+1P92M] C08.003 黑色少女 [41P-95MB] C08.003 黑色少女 [41P-95MB] C34.007 蓝色女仆 [40P-709MB] C34.007 蓝色女仆 [40P-709MB] C20.002 白色兔女郎 [43P-328MB] C20.002 白色兔女郎 [43P-328MB] C48.002 粉色透明女仆 [40P-472MB] C48.002 粉色透明女仆 [40P-472MB] XiuRen秀人网 2022.03.16 No.4722 大美媚京 新人美臀[53+1P 435MB] XiuRen秀人网 2022.03.16 No.4722 大美媚京 新人美臀[53+1P 435MB] 紧急企划 VOL.003 [74P1V-1.52G] 一只喵喵梓一只喵喵梓, 女仆, 女仆装, 白丝, 紧急企划, 美腿, 美足 紧急企划 VOL.003 [74P1V-1.52G] 一只喵喵梓一只喵喵梓, 女仆, 女仆装, 白丝, 紧急企划, 美腿, 美足 紧急企划 VOL.010 [82P1V-1.59G] 一只喵喵梓一只喵喵梓, 女仆, 女仆装, 紧急企划, 美腿, 美足, 肉丝 紧急企划 VOL.010 [82P1V-1.59G] 一只喵喵梓一只喵喵梓, 女仆, 女仆装, 紧急企划, 美腿, 美足, 肉丝 C44.005 透明女仆和黑色旗袍 [49P-704MB] C44.005 透明女仆和黑色旗袍 [49P-704MB] C00.007 阳光正好 [40P-355MB] C00.007 阳光正好 [40P-355MB] C30.002 阳光白裙 [41P-93MB] C30.002 阳光白裙 [41P-93MB] 少女秩序 VOL.12 少女的丝足特写 白丝双马尾[45P-294.2M]双马尾, 少女秩序, 白丝, 美腿, 美足 少女秩序 VOL.12 少女的丝足特写 白丝双马尾[45P-294.2M]双马尾, 少女秩序, 白丝, 美腿, 美足 C10.007 午后的阳光 [39P-532MB] C10.007 午后的阳光 [39P-532MB] C25.007 阳光和白丝 [41P-432MB] C25.007 阳光和白丝 [41P-432MB] C28.006 阳光和白裙 [40P-56MB] C28.006 阳光和白裙 [40P-56MB] C29.006 阳光与网袜 [40P-92MB] C29.006 阳光与网袜 [40P-92MB] C34.002 白丝与阳光 [40P-84MB] C34.002 白丝与阳光 [40P-84MB] C35.007 阳光与黑丝 [40P-88MB] C35.007 阳光与黑丝 [40P-88MB] 紧急企划 内部-003 一只喵喵梓 白丝蕾丝女仆装 [88P1V-4.69GB]一只喵喵梓, 女仆, 白丝, 紧急企划, 美腿, 美足 紧急企划 内部-003 一只喵喵梓 白丝蕾丝女仆装 [88P1V-4.69GB]一只喵喵梓, 女仆, 白丝, 紧急企划, 美腿, 美足 神楽坂真冬 第三季 序号29:女仆主题《愛のラビリンス2 》 [150P2V-601MB]兔女郎, 内衣, 双马尾, 女仆, 神楽坂真冬, 美腿, 美足, 高跟鞋, 黑丝 神楽坂真冬 第三季 序号29:女仆主题《愛のラビリンス2 》 [150P2V-601MB]兔女郎, 内衣, 双马尾, 女仆, 神楽坂真冬, 美腿, 美足, 高跟鞋, 黑丝 C05.008 阳光下的黑丝 [40P-76MB] C05.008 阳光下的黑丝 [40P-76MB] C44.006 阳光下的白丝 [40P-88MB] C44.006 阳光下的白丝 [40P-88MB] 紧急企划 内部 一只喵喵梓 肉丝棕色JK裙 [48P1V-1.09GB]JK制服, 一只喵喵梓, 紧急企划, 美腿, 美足, 肉丝 紧急企划 内部 一只喵喵梓 肉丝棕色JK裙 [48P1V-1.09GB]JK制服, 一只喵喵梓, 紧急企划, 美腿, 美足, 肉丝 C06.008 阳光下的死库水 [40P-86MB] C06.008 阳光下的死库水 [40P-86MB] JKFUN-038《湿气很重的白色房间》80D白色过膝袜 卉子 [105P1V-3.63G]JKFUN, 女仆, 女仆装, 森萝财团, 白丝, 美腿, 美足 JKFUN-038《湿气很重的白色房间》80D白色过膝袜 卉子 [105P1V-3.63G]JKFUN, 女仆, 女仆装, 森萝财团, 白丝, 美腿, 美足 少女秩序 2022春节特别期 ( 限定 ) 白丝短发 [66P-1.07GB]JK制服, 少女秩序, 白丝, 短发, 美腿, 美足 少女秩序 2022春节特别期 ( 限定 ) 白丝短发 [66P-1.07GB]JK制服, 少女秩序, 白丝, 短发, 美腿, 美足 少女秩序 EX.06 古川kagura 蓝色猫女仆白丝美腿[42P-295.7M]古川kagura, 女仆, 少女秩序, 白丝, 美腿, 美足 少女秩序 EX.06 古川kagura 蓝色猫女仆白丝美腿[42P-295.7M]古川kagura, 女仆, 少女秩序, 白丝, 美腿, 美足 XiuRen秀人网 2013.10.21 No.034 太阳花Mandy XiuRen秀人网 2013.10.21 No.034 太阳花Mandy XiuRen秀人网 2013.11.18 No.050 太阳花Mandy XiuRen秀人网 2013.11.18 No.050 太阳花Mandy C17.008 一半袜子一半脱掉 [40P-96MB] C17.008 一半袜子一半脱掉 [40P-96MB] C49.008 一半白丝一半果腿 [40P-136MB] C49.008 一半白丝一半果腿 [40P-136MB] XiuRen秀人网 2021.11.02 No.4153 一颗甜蛋黄a 女仆吊袜[67+1P 620MB] XiuRen秀人网 2021.11.02 No.4153 一颗甜蛋黄a 女仆吊袜[67+1P 620MB] XiuRen秀人网 2021.12.24 No.4381 芝芝Booty 圣诞主题[64+1P 684MB] XiuRen秀人网 2021.12.24 No.4381 芝芝Booty 圣诞主题[64+1P 684MB] D56.007 兔玩映画 天台晒太阳 [40P-80MB] D56.007 兔玩映画 天台晒太阳 [40P-80MB] XiuRen秀人网 2021.12.20 No.4359 王馨瑶yanni 圣诞主题[82+1P 821MB] XiuRen秀人网 2021.12.20 No.4359 王馨瑶yanni 圣诞主题[82+1P 821MB] XiuRen秀人网 2021.12.24 No.4383 鱼子酱Fish 圣诞主题[78+1P 732MB] XiuRen秀人网 2021.12.24 No.4383 鱼子酱Fish 圣诞主题[78+1P 732MB] XiuRen秀人网 2021.12.24 No.4385 周于希Sally 圣诞主题[91+1P 990MB] XiuRen秀人网 2021.12.24 No.4385 周于希Sally 圣诞主题[91+1P 990MB] 少女秩序 EX.10 鹿可 白丝JK双马尾(七夕情景音频特别篇)[35P1V-757.6M]JK制服, 双马尾, 少女秩序, 白丝, 美腿, 美足, 鹿可 少女秩序 EX.10 鹿可 白丝JK双马尾(七夕情景音频特别篇)[35P1V-757.6M]JK制服, 双马尾, 少女秩序, 白丝, 美腿, 美足, 鹿可 少女秩序 VOL.20 双马尾粉色可爱白丝[68P-557.8M]双马尾, 可爱, 少女秩序, 白丝, 美腿, 美足 少女秩序 VOL.20 双马尾粉色可爱白丝[68P-557.8M]双马尾, 可爱, 少女秩序, 白丝, 美腿, 美足 VOL.020 冰凉一夏 [46P-911MB] VOL.020 冰凉一夏 [46P-911MB] C00.008 一起去春游吧 [37P-194MB] C00.008 一起去春游吧 [37P-194MB] C45.003 大姐姐一级棒! [43P-905MB] C45.003 大姐姐一级棒! [43P-905MB] XiuRen秀人网 2022.01.18 No.4475 久久Aimee 新春特辑[63+1P 639MB] XiuRen秀人网 2022.01.18 No.4475 久久Aimee 新春特辑[63+1P 639MB] C01.005 黑色魅惑 [40P-175MB] C01.005 黑色魅惑 [40P-175MB] C02.002 白色梦境 [58P-473MB] C02.002 白色梦境 [58P-473MB] C07.006 黑色包裹 [40P-106MB] C07.006 黑色包裹 [40P-106MB] C11.003 黑色束缚 [40P-251MB] C11.003 黑色束缚 [40P-251MB] C14.002 白色花嫁 [45P-940MB] C14.002 白色花嫁 [45P-940MB] C21.002 粉色闺房 [40P-64MB] C21.002 粉色闺房 [40P-64MB] C23.004 黑色裙子 [40P-72MB] C23.004 黑色裙子 [40P-72MB] C27.004 黑色礼服 [48P-424MB] C27.004 黑色礼服 [48P-424MB] C35.002 粉色格裙 [40P-72MB] C35.002 粉色格裙 [40P-72MB] D51.001 粉色短裙 [39P-71MB] D51.001 粉色短裙 [39P-71MB] XiuRen秀人网 2014.12.24 No.259 孔一红 [88P303M] XiuRen秀人网 2014.12.24 No.259 孔一红 [88P303M] XiuRen秀人网 2017.06.05 No.764 猩一[40+1P103M] XiuRen秀人网 2017.06.05 No.764 猩一[40+1P103M] 紧急企划 VOL.023 一只喵喵梓 一亿像素 车内双马尾白丝JK制服 [88P1V-4.04GB]JK制服, 一只喵喵梓, 双马尾, 白丝, 紧急企划 紧急企划 VOL.023 一只喵喵梓 一亿像素 车内双马尾白丝JK制服 [88P1V-4.04GB]JK制服, 一只喵喵梓, 双马尾, 白丝, 紧急企划

最新文章

随机文章